您当前的位置:成果库 > 基于SC模式的信息技术教育培训系统
基本信息
- 成果类型 高等院校
- 委托机构 西安电子科技大学
- 成果持有方 西安电子科技大学
- 行业领域 应用软件开发
- 项目名称 基于SC模式的信息技术教育培训系统
- 知识产权 发明专利
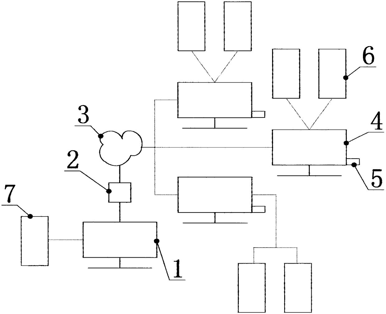
- 项目简介 一种基于SC模式的信息技术教育培训系统,包括有授课工作站、交互服务器以及服务网络,授课工作站通过交互服务器与服务网络实现连接。本实用新型还提供了客户端服务器、客户端存储设备以及学习单元;客户端服务器与服务网络连接,客户端存储设备与客户端服务器信号连接,学习单元与客户端服务器连接。基于SC模式进行教学,其具有在线授课、在线互动等特点。由客户端服务器接收客户端服务器发出的教学信息,然后分送至各个独立的学习单元上,这样不仅能够缓解客户端服务器的运行压力。设置了客户端存储设备,其能够自动存储教学视频信息,通过调取存储信息可以进行补习,这样彻底解决了错过在线授课无法补课的问题。
-
交易信息
- 意向交易额 面议
- 挂牌时间 2018/01/05
- 委托机构 西安电子科技大学
- 联系人姓名 王小刚
- 联系人电话 15802954800
- 联系人邮箱 745490733@qq.com
- 分享至:


444
2018/08/20
咨询成果
发布成果